التابع الصحيح (كثير الحدود)
سنتعرف في هذا المقال على شكل التابع الصحيح أو مايعرف بالتابع كثير الحدود، وعلى مجموعة تعريفه ، ونهايته عند الزائد لانهاية وعند الناقص لانهاية وعند عدد ما.
أولاً: شكله العام:
![]()
حيث:
a,b,…..,K أعداد حقيقية
عدد طبيعي n
أمثلة على بعض التوابع الصحيحة:
تابع صحيح من الدرجة الثانية

تابع صحيح من الدرجة الأولى
![]()
ثانياً: مجموعة تعريفه:
مجموعة تعريفه هي مجموعة R (وهي مجموعة الأعداد الحقيقية)
ثالثاً: (نهاية التابع الصحيح)
لدينا حالتان:
![]()

الحد المسيطر هو الحد الذي يمتلك أعلى أس في كثير الحدود
أمثلة:
– أوجد نهاية كلٍ من التوابع الآتية عند الزائد لانهاية وعند الناقص لانهاية
![]()
الحل:
الحد المسيطر وأمثاله هو : 
ومنه فإن الحل يكون بالشكل الآتي:



” بدلنا كل x بالزائد لانهاية”
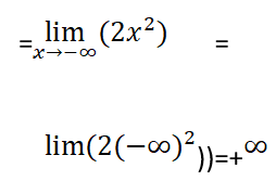
وبنفس الطريقة نوجد نهاية التابع عندما x تسعى نحو الناقص لانهاية


الحالة الثانية:( عندما تسعى x نحو عدد )

أي نبدل كل x ب a بالتابع المعطى
مثال:
أوجد نهاية التابع:


الحل:

ولمزيد من الفائدة تابعوا هذا الفديدو: